Kısmi F Testi
Ki-kare (χ²) F testi, iki ya da daha fazla değişken arasındaki ilişkinin istatistiksel olarak anlamlı olup olmadığını incelemek için kullanılır.
Reddithun
5/17/20252 min read


x1,…,xk bağımsız değişkenleri arasında doğrusal ilişki olup olmadığını araştırmak için kullanılan testir. Uygun hipotezler aşağıdaki gibidir:


H0 hiptezinin reddedilmesi için x1,…,xk bağımsız değişkenlerinden en az birinin modele anlamlı katkı sağlaması gerekmektedir. Bu test basit doğrusal regresyonun genelleştirilmesidir.
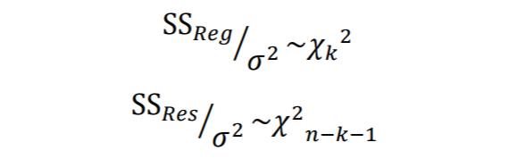
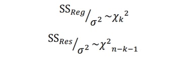
H0 hipotezi doğru iken;


olacak şekilde dağılır. Ve F istatistiğinin tanımından;


oranının Fk,n-k-1 dağıldığı görülür. H0 hipotezini test etmek için Fh test değeri hesaplanır ve Fh> Fk,n-k-1 geçerli ise H0 reddedilir.


Karar Verme
R² Change: Eklenen değişkenlerin modeli ne kadar geliştirdiğini gösterir.
F Change: Kısmi F testidir.
Sig. F Change: Anlamlılık düzeyidir. <0.05 ise anlamlıdır → yeni değişkenler katkı sağlamıştır.
F değeri için karar vermek istersek, F tablosu ile karar değeri belirleniz


v₁ (pay serbestlik derecesi): Genellikle eklenen değişken(ler) sayısı
v₂ (payda serbestlik derecesi): Gözlem sayısı − toplam bağımsız değişken sayısı − 1
Hesaplanan F değeri:
Tablodaki değerden büyükse → H₀ reddedilir (eklenen değişkenler anlamlı katkı sağlar)
Küçükse → H₀ kabul edilir (eklenen değişkenler anlamlı değil)
