Belirtme Katsayısı
Belirtme katsayısı (R²), bir regresyon modelinde bağımsız değişkenlerin, bağımlı değişkendeki toplam değişimin ne kadarını açıkladığını gösteren ölçüdür.
Reddithun
5/17/20251 min read


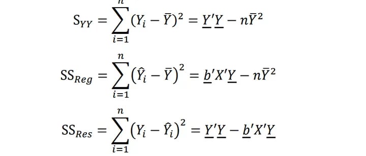
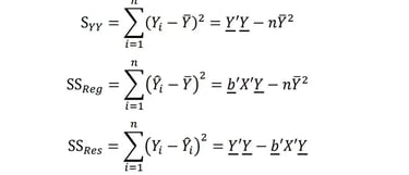
TKT:Toplam kareler Toplamı(Total Sum Of Square/SYY)
RKT:Regresyon Kareler Toplamı(Regression Sum Of Squares/SSReg)
AKT:Artıklar Kareler Toplamı(Residuals Sum Of Squares/SSRes)
Bu sonuçlara göre k tane bağımsız değişkenin doğrusal regresyon modelinde belirleme katsayısı bağımlı değişkenin % kaçını açıkladığını belirtir. Belirtme katsayısı iki bağımsız değişkenli doğrusal regresyon model için;


ile hesaplanır. Belitme katsayısının yukarıdaki eşitlik ile heplanması fazla zaman alır. Çünkü 𝑌̂ 𝑖 değerlerinin tek tek heplaması gerekir. Matris işlemleri ile 𝑌̂ 𝑖 değerininin hesaplanmasına gerek yoktur.


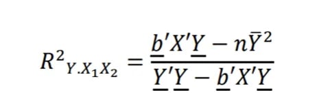
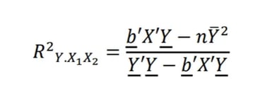
Bu durumda belirme katsayısı;


eşitliği şeklinde olur.


