Normal Dağılım
Reddithun
5/21/20254 min read


Normal Dağılım
1. Normallik Varsayımı
Normal dağılım, Gauss dağılımı olarak da bilinmektedir. Standart normal dağılım bir veri setinde ortalamanın 0, varyansın ise 1 olduğunu durumda sağlanmaktadır. Elimizdeki verilerin ortalamalarını çizgi grafiği ile gösterecek olursak, grafiğin orta noktasında çizginin yüksek olduğu, sağ ve sol kenarlara doğru yüksekliğin azaldığını görebiliriz. Bu yazımızın görseli bir önceki cümleyle açıklanan grafik örneğidir. Normal Dağılım Hangi Amaçla Kullanılır? Normal dağılım istatistiksel birtakım analizleri yapmadan önce uygulanan ve hangi analizi yapmamıza karar veren yardımcı bir analizdir. Örneğin iki farklı (bağımsız) grubun tek ölçüme ait ortalamalarının karşılaştırılması için bağımsız örneklem T testi veya Mann Whitney U testi kullanılabilir. Veri setimizdeki veriler normal dağılım gösteriyor ise bağımsız örneklem t testi kullanılır. Özellikle uluslararası dergilerde makale yayınlanacak ise yayın kurulları normal dağılım testi yapılıp yapılmadığına dikkat etmektedir. Ülkemizde ise yakın zamanlarda bu analizin yapılması istenilmeye başlanmıştır.

2. Çarpıklık Ve Basıklık Ölçüleri
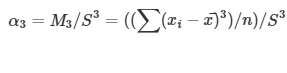
2.1 Çarpıklık(α3)
Bir dağılıma ilişkin ölçme sonuçlarının nasıl dağıldığı hakkında bilgi verir.
Momentlere Dayalı Çarpıklık Ölçüsü


α3=0 ise veri simetriktir
α3>0 ise veri sağa çarpık
α3<0 ise veri sola çarpık
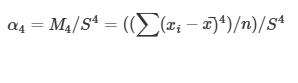
2.2. Basıklık(α4)
Basıklık bir sınıftaki değişim miktarının göstergesidir.
Momentlere Dayalı Çarpıklık Ölçüsü


α4=3 ise veri normaldir
α4>3 ise veri normale göre sivridir
α4<3 ise veri normale göre basıktır
3. Veri Setlerinide ki Değişkenlerin Normalliklerinin İncelenmesi
Veri setindeki değişkenlerin normallik incelemesini yapmak için iki farklı yöntem vardır. Shapiro-Wilk test istatistiği ve Kolmogorov-Smirnov test istatistiği kullanılır. Hang testin kullanılacağına gözlem sayısına göre karar verilir.
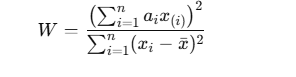
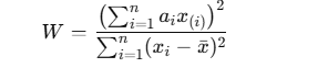
3.1. Shapiro-Wilk W Testi
Shapiro-Wilk W Testi, istatistikte bir normallik testi olarak kullanılır. Bu test, bir veri setinin normal dağılıma uyup uymadığını kontrol etmek için özellikle küçük örneklem büyüklükleri (n < 50) için güçlü bir testtir. W test istatistiği ile karşılaştırılır. Shapiro-Wilk testi aşırı duyarlıdır. Büyük örneklemlerde küçük sapmalar bile anlamlı çıkabilir.
H0 (null) hipotezi: Veri seti normal dağılıma uygundur.
H1 (alternatif) hipotezi: Veri seti normal dağılıma uygun değildir.
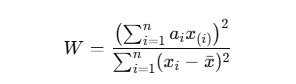
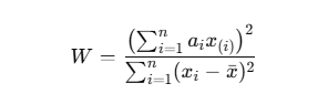
Shapiro-Wilk W istatistiğinin Formülü
Shapiro-Wilk W istatistiği şu şekilde tanımlanır:


W = 1'e ne kadar yakınsa, veri o kadar normal dağılıma uygundur.
W değeri küçükse (0'a yaklaştıkça), verinin normal dağılımdan sapması fazladır.
3.2. Kolmogorov-Smirnov (K-S) Testi
Kolmogorov-Smirnov (K-S) Testi bir veri setinin belirli bir dağılıma (genellikle normal dağılım) uyup uymadığını test eden bir normallik testidir. Ayrıca iki farklı dağılımı karşılaştırmak için de kullanılabilir. Veri dağılımı ile referans dağılım arasındaki en büyük farkı ölçer. Parametrik olmayan bir testtir (dağılım varsayımı gerekmez). Hem tek örneklem hem iki örneklem versiyonu vardır: Tek örneklem: Veri seti, belirli bir teorik dağılıma uyuyor mu? (örneğin normal dağılım) İki örneklem: İki veri seti aynı dağılımdan mı geliyor? D test istatistiği ile karşılaştırılır.
H0 (null) hipotezi: Veri seti normal dağılıma uygundur.
H1 (alternatif) hipotezi: Veri seti normal dağılıma uygun değildir.
Kolmogorov-Smirnov Test İstatistiği (D)
Kolmogorov-Simirnov (K-S) testinde kullanılan test istatistiği


D değeri küçükse: Gözlem dağılımı ile teorik dağılım birbirine yakındır.
D değeri büyükse: Gözlem dağılımı teorik dağımdan uzaklaşmaktadır.
Elde edilen p-değeri, bu farkın istatistiksel olarak anlamlı olup olmadığını belirler.




